发布时间:2025-09-29 09:56:09 浏览 次
作者:蔡丹婷(通信作者),窦文
单位:南方医科大学珠江医院 (广东广州 510282)
〔关键词〕4D;CT;模拟肿瘤;呼吸运动;呼吸时相;放疗靶区;体积变化率;中心点位移
〔中图分类号〕R734.2 〔文献标识码〕B
〔文章编号〕1002-2376(2025)14-0016-04
肺癌患者在自然呼吸下扫描获得的肺部肿瘤CT 图像不足以代表其真实体积及真实位置,是导致局部复发和肿瘤控制不佳的主要原因 [1-3]。为了减少肿瘤运动对靶区勾画造成的影响,临床采用四维(4D)CT 进行扫描,在同一位置持续扫描至少1 个呼吸周期,对采集的图像进行分组和重建,得到 1 组完整呼吸周期的肿瘤 CT 图像,利用重建得到的 10 个时相与平静呼吸状态下的时相相融合来确定计划靶区 [4-5]。因此,充分了解患者的呼吸运动信息十分必要。本研究采用 Dynamic Thorax Phantom 呼吸运动模体模拟肺癌患者的肿瘤运动,通过模拟不同呼吸运动周期和幅度的呼吸运动曲线,探究4D CT 图像重建的 10 个时相下成像的模拟肿瘤与实际模拟肿瘤在体积及位置上的差异。
1 材料与方法
1.1 研究材料
Dynamic Thorax Phantom 呼吸运动模体(美国 CIRS 公司,型号:model 008A)由电源、驱动电机、呼吸运动检测装置、模体肺组织及运动杆组成(见图 1)。该模体的形状、比例及组成均接近于人体平均胸部。模拟肺部肿瘤分别选用直径为 1、2、3 cm的球形插件,将模拟肿瘤插至运动杆内,运动杆再植入模体的肺组织,通过与运动杆连接的 1 个驱动电机控制运动杆进行旋转运动及头脚方向的移动,实现模拟肿瘤在三维方向上的运动。连接完毕后,将水平仪放置于驱动电机上,调节整个呼吸运动模体底部的旋钮使其达到水平。

注:1 为电源,2 为驱动电机,3 为呼吸运动检测装置,4 为模体肺组织,5 为运动杆。
图 1 Dynamic Thorax Phantom 呼吸运动模体结构图
1.2 方法
1.2.1 呼吸运动参数设置
通过 CIRS Motion Control 软件设置模拟肿瘤的运动函数,分别给模拟肿瘤设计 4 种呼吸运动曲线(Trace),其中运动幅度 A 为 10、20 mm,呼吸周期 T 为 4、6 s,分别记为 Trace A(A= 10 mm,T = 4 s)、Trace B(A= 20 mm,T = 4 s)、Trace C(A=10 mm,T = 6 s)及 Trace D(A= 20 mm,T = 6 s)。计算公式为:P(t)=Asin[(2π/T)t],式中 A 为模拟肿瘤的运动幅度,T 为模拟肿瘤的运动周期,P(t)为模拟肿瘤在时间 t 的位置。
1.2.2 CT 扫描和图像重建
采用 CT 模拟定位机(航卫通用电气公司,型号:Discovery CT590 RT)进行扫描,参数设置为:电压 120 kV,电流 200 mA,层厚 2.50 mm,层间距8 mm,扫描速度 0.8 s,分别在直径为 1、2、3 cm 的模拟肿瘤做 Trace A~D 运动时进行 4D CT 扫描;扫描结束后进行基于相位排序的图像重建,以运动周期 10% 相位为间隔,将每组 CT 图像重建成 10 个时相的图像(CT 0% ~ CT 90%)。在同一扫描层厚下,分别对直径 1、2、3 cm 的模拟肿瘤静止状态下的呼吸运动模体进行常规 CT 扫描。
1.2.3 靶区勾画和体积计算
模拟肿瘤为标准球体,直径 1 cm 的模拟肿瘤体积约为 0.52 cm3 ,直径 2 cm 模拟肿瘤体积约为4.19 cm3 ,直径 3 cm 模拟肿瘤体积约为 14.13 cm3 。将呼吸运动模体静止状态下的 CT 图像及 Trace A ~ D运动状态下各时相的 CT 图像导入 Monaco 计划设计系统,确定窗宽为 3 000 Hu、窗位为 500 Hu,对静止的直径为 1、2、3 cm 的模拟肿瘤进行勾画,得到体积值并分别记为 V1(0.51cm3)、V2(4.23 cm3 )、V3(14.14 cm3 );与模拟肿瘤实际体积相比,差值分别为 0.01 cm3(1.9%)、0.04 cm3(0.9%)、0.01 cm3(0.07%)。说明在上述窗宽、窗位条件下,静止的呼吸模体 CT 图像能真实反映模拟肿瘤的结构体积信息。因此,可在此窗宽、窗位条件下对 Trace A~D运动状态各时相的模拟肿瘤进行勾画。
1.3 观察指标
1.3.1 模拟肿瘤体积比较
将 Trace A~D 下勾画得到的模拟肿瘤体积与模体静止状态下勾画得到的模体肿瘤体积进行比较,以式(2)计算各呼吸曲线下的模拟肿瘤体积变化率。

式中,Vl Trace k CTm% 为模拟肿瘤在呼吸运动曲线 Trace k 下扫描得到的 CTm% 时相下的体积,Vl 为模体静止状态下直径为 l 的模拟肿瘤的体积。
1.3.2 模拟肿瘤中心点位移比较
将 Trace A~D 下各时相模拟肿瘤的中心点坐标记为(xl CTm%,yl CTm%,zl CTm%);静止状态下模拟肿瘤的中心点坐标记为(xl,yl ,zl );模拟肿瘤在 xl ,yl ,zl 方向上的位移分别为 xl CTm%-x、ylCTm%-y、zl CTm%-z,以式(3)计算模拟肿瘤在Trace A~D 各时相下与模体静止状态下模拟肿瘤的中心点位移(d)。计算公式为:Δd = [(xl CTm%-x)2 +(ylCTm%-y)2 +(zl CTm%-z)2 ] -2。
1.4 统计学处理
采用 SPSS 27.0 统计软件进行数据分析。采用Pearson 相关性分析模拟肿瘤体积变化率、平均中心点位移与模拟肿瘤实际体积的相关性,以及模拟肿瘤体积变化率与其运动幅度、运动周期的相关性。
2 结果
2.1 模拟肿瘤体积比较
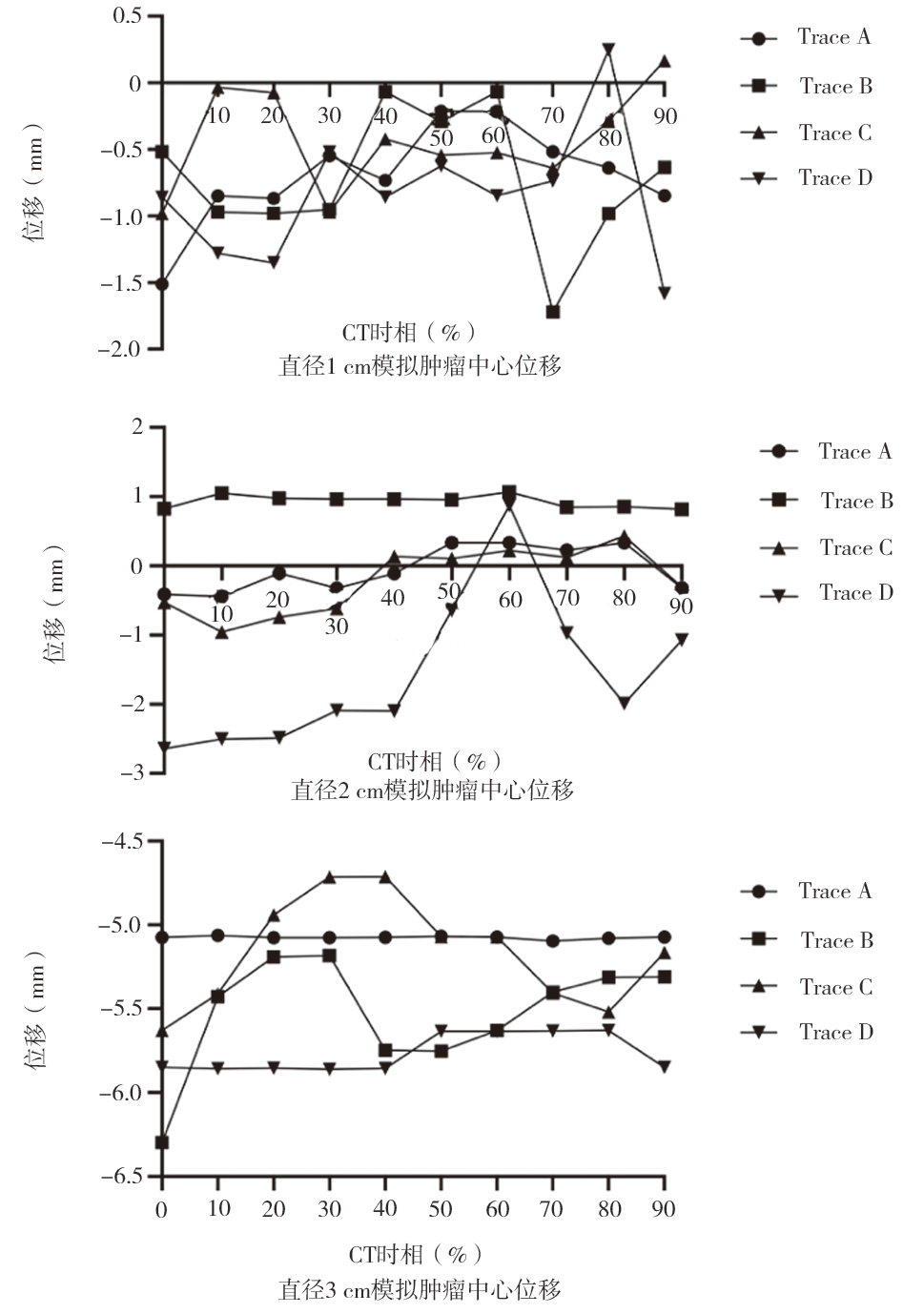
Trace A~D 中,直径 3 cm 模拟肿瘤在各呼吸时相的体积变化率最小,直径 1 cm 模拟肿瘤在各呼吸时相的体积变化率最大,见图 2。

注:Trace 为呼吸运动曲线。
图 2 不同直径模拟肿瘤在 Trace A~D 各呼吸时相下的成像体积变化率
2.2 模拟肿瘤中心点位移比较
Trace A~D 中,直径 3 cm 的模拟肿瘤在各呼吸时相的中心点平均位移最大;直径 1、2、3 cm 的模拟肿瘤在呼吸时相 CT 50% ~ CT 60% 下的平均中心点偏移率最小,分别为 2.50%、1.62%、45.8%。见图 3。

注:Trace 为呼吸运动曲线。
图 3 不同直径模拟肿瘤在 Trace A~D 各呼吸时相下与模体静止状态下的中心点位移
2.3 模拟肿瘤体积变化率、平均中心点位移与模拟肿瘤实际体积的相关性
模拟肿瘤体积变化率与模拟肿瘤实际体积呈弱负相关(r = - 0.343,P< 0.05);模拟肿瘤平均中心位移与模拟肿瘤实际体积呈强正相关(r = 0.857,P< 0.05);模拟肿瘤体积变化率与运动幅度无显著相关性(r = - 0.023,P> 0.05),与运动周期无相关性(r = - 0.016,P> 0.05)。
3 讨论
呼吸运动是影响肺癌放射治疗精准性的主要因素,如何在患者放射治疗中把握肿瘤的运动变化,确定其形态体积,捕捉其运动位置,是临床医师面临的重要问题 [6]。4D CT 扫描通过采集患者的呼吸运动信息,能够解决放疗医师对靶区勾画外放边界不确定的问题 [7-8]。
本研究结果显示,Trace A~D 各呼吸时相下,直径为 3 cm 的模拟肿瘤的体积变化率最小,直径 1 cm模拟肿瘤体积变化率最大。模拟肿瘤体积变化率与模拟肿瘤实际体积呈弱负相关(r = - 0.343)。刘首鹏等 [9] 利用包含特定模块的 QUASAR 模体研究了16 种呼吸模式不同时相下特定模块的体积,发现模拟肿瘤体积越小,体积变化率越大,与本研究结果具有一致性。分析原因可能为,由于直径 1 cm 的模拟肿瘤体积过小,部分时相的图像上无法清晰呈现模拟肿瘤的边界,故勾画的体积不够准确,导致相关性较弱且体积偏差较大 [10-11]。
本研究结果显示,Trace A~D 中,直径 3 cm 的模拟肿瘤在各呼吸时相的中心点平均位移最大;直径 1、2、3 cm 的模拟肿瘤在时相 CT 50%~CT 60% 下的平均中心点偏移率最小;模拟肿瘤平均中心位移与模拟肿瘤大小呈强正相关(r=0.857,P<0.05);模拟肿瘤体积变化率与运动幅度无显著相关性(r = -0.023,P > 0.05), 与运动周期无相关性(r = -0.016,P > 0.05)。分析原因可能为,大体积模拟肿瘤运动轨迹比小体积模拟肿瘤长,10 个呼吸时相不足以反映整个呼吸运动周期的位移规律,因此中心点平均位移较大 [12]。另外,随着运动幅度的增加,多数呼吸时相下模拟肿瘤的成像体积变化率也随之增加,而某些呼吸时相下的成像体积略有减少,可能是由于人工勾画得到的成像体积本身的偏差,以及运动幅度较小(仅增加10 mm),导致模拟肿瘤体积变化率与运动幅度无显著相关性 [13-14]。
有研究表明,不同肺叶肿瘤的运动范围差异较大,尤其当肿瘤位于肺下叶及肺周边时 [15]。黄燕等 [16]的研究认为,位于肺下叶及肺门处的肿瘤的中心点在三维方向的运动矢量明显大于肿瘤位于肺上叶时的位移。因此,本研究存在一定局限性:如模拟肿瘤均位于肺中叶;仅研究了模拟肿瘤在头脚方向的一维规律正弦运动,而实际临床中患者肺部肿瘤运动具有不规律、非线性特点,使实验结果与实际情况存在差异 [17]。在今后的研究中,尝试对模拟肿瘤设计更加复杂的运动曲线,更好地模拟患者的呼吸运动;可通过对患者进行呼吸训练及视听生物反馈引导等手段,减弱患者的呼吸运动对肿瘤体积、位置的影响 [18-19]。
综上所述,采用 4D CT 扫描模拟肿瘤时,不同呼吸时相下的成像体积与位置存在差异,成像体积和位移的变化与模拟肿瘤的体积有关。
【参考文献】
[1]陈衎, 杨振, 曹瑛,等 . 呼吸运动对4DCT 扫描下靶区体积及位移的影响 [J]. 中国医学物理学杂志, 2022,39(3):277-82.
[2]HART J L, CANEPA M, AGARWAL S, et al. The effect that pathologic and radiologic interpretation of invasive and non invasive areas in lung adenocarcinoma has on T-stage and treatment[J]. Ann Diagn Pathol, 2021: 151799.
[3]Giżyńska M K, Seppenwoolde Y, Jm Heijmen B. Tumor tracking with non-linear internal/external correlation models in the presence of respiratory motion baseline drifts and phase shifts[J]. Phys Med, 2024, 118: 103295.
[4]OKADA M, NAKAYAMA H, OKUMURA S, et al.Multicenter analysis of high-resolution computed tomography and positron emission tomography/computed tomography findings to choose therapeutic strategies for clinical stage IA lung adenocarcinoma[J]. J Thorac Cardiovasc Surg, 2011, 141(6): 1384-1391.
[5]Im J Y, Micah N, Perkins A E, et al. Pixelprint 4D: A 3D printing method of fabricating patient-specific deformable ct phantoms for respiratory motion applications[J]. Invest Radiol, 2025, 60(10): 636-646.
[6]Li F, Qu Y, Zhang T, et al. Evaluation of lung tumor motion in a large sample: Target-related and clinical factors influencing tumor motion based on four-dimensional CT[J].Cancer Med, 2021, 10(20): 7126-7135.
[7]王涛,刘晓男,毛荣虎,等 . 3D/4D CT 和3D/4D CBCT 在不同运动模式下的模体靶区体积差异 [J]. 河南医学研究,2024,33(22):4047-4051.
[8]胡瑜琬,普红波,梁田,等 . 4D 动态通气 CT 应变分析定量评估慢性阻塞性肺疾病肺形变的研究 [J]. 影像诊断与介入放射学,2024,33(1):56-62.
[9]刘首鹏, 廖雄飞, 黎杰,等 . 基于4D-CT 和 4D-CBCT扫描研究呼吸运动对模体成像体积的影响 [J]. 肿瘤预防与治疗, 2021, 34(1): 53-58.
[10]刘苓苓, 费振乐, 崔相利,等 . 运动对小体积肿瘤影像学差异的研究 [J]. 中国医疗设备, 2022, 37(4):1-5,18.
[11]刘倩倩, 姚升宇, 陈旭明,等 . 4D-CT 呼吸信号采集方式对运动肿瘤靶区勾画的影响 [J]. 中国辐射卫生,2023, 32(1): 35-39.
[12]Siow T R, LIM S K. Correlating lung tumour location and motion with respiration using 4D CT scans [J]. J Radiother Pract, 2019, 20(1): 1-5.
[13]Weiss E, Wijesooriya K, Dill S V, et al. Tumor and normal tissue motion in the thorax during respiration: Analysis of volumetric and positional variations using 4D CT[J]. Int J Radiat Oncol Biol Phys, 2007, 67(1): 296-307.
[14]Parkinson C, Matthams C, Foley K, et al. Artificial intelligence in radiation oncology: A review of its current status and potential application for the radiotherapy workforce[J]. Radiography (Lond), 2021, 27: S63-S68.
[15]MCNIVEN A L, SHARPE M B, PURDIE T G. A new metric for assessing IMRT modulation complexity and plan deliverability [J]. Med Phys, 2010, 37(2): 505-515.
[16]黄燕, 曹泓立, 裴曦,等 . 4D-CT 联合锥形束 CT 在肺癌放疗中靶区外放边界的研究 [J]. 中国医疗设备,2023, 38(8): 32-37,47.
[17]何璟韬, 倪千喜, 庞金猛,等 . 基于四维 CT 图像对不同呼吸模式下各时相靶区体积及位置的研究 [J]. 现代肿瘤医学, 2022, 30(20): 3763-3768.
[18]YAN S X, MAISONET O G, PEREZ C A, et al. Radiation effect on late cardiopulmonary toxicity: An analysis comparing supine DIBH versus prone techniques for breast treatment[J]. Breast J, 2020, 26(5): 897-903.
[19]BODA-HEGGEMANN J, KNOPF A C, SIMEONOVACHERGOU A, et al. Deep inspiration breath hold—based radiation therapy: A clinical review [J]. Int J Radiat Oncol Biol Phys, 2016, 94(3): 478-492.
内容来源于《医疗装备》杂志,如需转载请注明出处。

欢迎关注《医疗装备》官方公众号